招生电话:0759-2296349

课程咨询微信号:619809370

地址:湛江市霞山区人民大道南81号新宇大厦501室

新闻中心

湛江农商银行编制招聘考前冲刺试卷3答案

2025-10-02

第一部分 行测

 

1.【答案】C。解析: “拍摄”可知,句中“我”的身份是摄影师。摄影师的工 作特质就是以照片的形式把生活中有意义的瞬间定格,“捕捉镜头”是摄影过程中常 用的词语。另外,第二空中,由后句的“令人敬畏的大自然……历史”可知,面对 如此宏大的背景,摄影者的态度应该是充满“敬意”的。本题选 C

2.【答案】C。解析: “振聋发聩”比喻用语言文字唤醒糊涂麻木的人,使他们清  醒过来,与“教训”不能搭配,排除 A 项。第一空所填的词语应能表示没有产品作支  撑的名牌的结局。“浮光掠影”比喻观察不细致,学习不深入,印象不深刻。“掩耳  盗铃”比喻自己欺骗自己。“昙花一现”比喻美好事物不持久。显然,“昙花一现” 所表达的不持久的含义与句意最相符。故可排除 B D 项。本题选 C

3.【答案】A。解析: “反而”可知,第一空应与“艰涩之感”形成反义对应关 系,“引人入胜”多用来指风景或文艺作品特别吸引人,偏重于文学作品情节的设置, 与强调深奥晦涩的“艰涩”无法形成反义对应关系,可排除 B;根据行文顺序,第二 空着重突出这本著作难得的优点,但上升到“叹为观”的地步则程度过重,由此排  C;由“做临时杯垫用”可知,第三空应与“艰涩之感”同义,“令人费解”恰好 呼应了深奥晦涩难懂的词义,因此本题答案为 A

4.【答案】A。解析: “与”可知,第一空词语与“羞愤”之间为并列关系。选 项中含有“羞”这层含义的只有 A 项的“尴尬”。第二空“内容”与“精辟”也搭 配得当。故本题选 A

5.【答案】C。解析: 本题可从第三空入手排除。皮影戏流传地域广阔,各地皮影 戏吸取当地文艺元素精华,这样形成的众多流派必然是丰富多彩的“家喻户晓”形 容人人皆知,广为流传。从句中看不出皮影戏各流派知名度高这一特点,排除 A“风 格迥异”意为思想特点或艺术特点完全不同。作为同属皮影戏的各个流派,即使有差 异也未达到完全不同的程度,排除 B 项。“标新立异”形容故意与众不同以显示自己,用来形容“流派”不妥,排除 D 项。“异彩纷呈”所表现出的多元化契合题意,故 C 项当选。

6.【答案】C。解析:文段由伊顿的预言引出国民创新能力对国家发展的重要性, 由此可知文段强调的重点在于“国民创新”。选项中与此相关的只有 C 项,故当选。 A 项的“人力资源”和 D 项的“国民素质”表述均过于笼统,排除。

7.【答案】B。解析: 文段为分总结构,前三句先指出对豆味的排斥使豆浆在西方 不受欢迎,因而市场需求量不大;第四句接着说明豆浆保存难度大;末句进行总结, 正是由于前述两个原因,才导致美国豆浆的价格远远高于牛奶。由此可知,文段的主 旨就在于剖析豆浆在美国价格偏高的原因,即 B 项。

8.【答案】B。解析: 文段以甜菜、车前草、梨树三种植物为例,分别阐述了叶片 结构给其生长带来的好处。A 项的“关键因”在文段中没有体现,排除。C D  把落脚点放在“叶片”差异的形成上,排除。B 项的“暗合数学规律”与文段中的“垂 直生长”、“夹角”、“弦角”、“对数螺旋上升”等词语对应,故当选。

9.【答案】D。解析: 文段首先指出对权力的私有及其日益专横的深痛剖析难以进 入法律层面,因此转而定型为一种思辨、文学和伦理等领域的代偿”方式。然后说 明了在这一背景下,唐朝以李商隐为代表的咏史诗蓬勃发展的状况。由此可知,文段 主要阐述的便是咏史诗这一文学形式产生的社会背景问题,即 D 项。

10.【答案】C。解析: 文段首先指出单纯依靠媒体监督一种监督力量的不安全性, 然后说明媒体监督的非强制性监督性质使其效果受制于舆论环境和监督对象的态度的 局限性,由此得出结论:不应将整个社会监督的希望寄托在媒体监督上。而相应地, 文段针对的问题便是媒体监督被赋予过多期望,即 C 项。

11.【答案】C。解析:文段首先介绍了民间外交相对于政府公关的优势,然后指 出普通公众在当前背景下对舆论的重要影响,最后由“因此”作结强调应引导公众发 展民间外交。C 项是对“因此”后观点句的同义转述,故当选。

12.【答案】A。解析:文段首句即指出“改革收入分配,其实质就是……”,然 后下文对此进行进一步说明。由此可知, 文段围绕收入分配改革的实质展开论述,A 项当选。

13.【答案】B。解析: 由文段中六次出现的心理”可知,文段论述的话题应与 此相关,正确答案中应包含此关键词,据此排除 A  C 项。D 项与末句“心理学的

预测应该是概率性的,表示自己可以在个体层面上进行心理预测,是临床心理学家常 犯的错误”表述矛盾,排除。B 项是末句的同义转述,本题答案为 B

14.【答案】D。解析: 文段首先由中国古代焚香的习俗引出香炉这一论述对象, 然后简单介绍了香炉制作材料的演变过程,最后落脚到明宣德年间的铜香炉制作的巅 峰上。基于话题统一的原则,下文最可能继续围绕明宣德的铜香炉展开,D 项与此 衔接最紧密,当选。B 项完全脱离了“香炉”这个中心话题,排除。A C 项内容在 文中已有所阐释,也可排除。本题答案为 D

15.【答案】B。解析:文段通过与温度计进化进程的类比,意在阐明“幸福”传 感器的价值和前景。作为一篇科技说明文,“科学家”这一特殊主体后的内容常是文 段说明的重点。文段中“科学家们相信”后说的是“‘幸福’传感器也将遵循类似进 化进程”,即“幸福”传感器也会越来越精确,最终成为不可或缺的日用品。选项中 与此最相符的为 B 项,故当选。

16.【答案】A。解析:文段通过遥感探测发现,对华北地区空气污染现象频发的 原理进行了分析。D 项的“发生时间”非文段重点,C 项的“覆盖范围”文段未涉及, 均可排除。由“由于……造成……”的句式可知,文段侧重说明的是“原因”而非“过 ”。本题答案为 A

17.【答案】B。解析: A 项,搭配不当。应为“物质上保障充足和精神上快乐充 实的晚年”。C 项,搭配不当。“规范”和“危险行为”不搭配,删掉“危险”。D 项,语序不当。应为“挖掘、抢救、保护和创新”。

18.【答案】B。解析: A 项,搭配不当,“传授”指把学问、技艺教给别人, “茶 树种子”不能搭配“传授”。C 项,句式杂糅,“新开辟了65 条国际航线可以直飞…… 地区”是“新开辟了 65 条国际航线”和“(这些)航线可以直飞……地区”的杂糅。D 项,语序不当,“从而确保道路通畅,并且避免发生意外”应改为“从而避免发生意 外,并且确保道路通畅”,这样才能与前面“减少人为的操作失误”“依靠智能决策 系统来跟车、变道”分别对应,也与第一个分句“安全性与实用性”的语序对应。

19.【答案】A。解析: B 项,搭配不当,应为“强劲增长态势”。C 项,语序不 当,应为“全面脱贫、全面建成小康社会的目标”。D 项,成分残缺,缺少宾语,应 “并不能说解决了真正的垃圾分类问题”。

20.【答案】A。解析:B 项,并列关系不当,“网络诈骗”与前三者有包含关系;
C 项,中途易辙或成分残缺,“提供”无主语。D 项,句式杂糅,可以改为“跟对……
的处理名硬实软也有关系”。
21.【答案】C。解析:这一串数的规律在于:
所以最开始的数字应该是 4 的平方减 2 也就是 14,底数是自然数中的合数列。
22.【答案】B。解析:相邻两项作和分别为 19243037,依次相差 567
所以下一项相差 8,还原得到 B
23.【答案】B。解析:各项依次为 8/-248/-116/2248/45,(192/68),其中
分子 881648192,作商依次为 1234;分母-24-1224568 构成公
差为 23 的等差数列,所以下一项为 192/68=48/17
24.【答案】B。解析:由奇偶四则运算可知 a b 必定一奇一偶,又均为质数,
则必定有个数字 2,若 a 2,则 b 5,两数相加为 7;若 b 2a 9,不满足题
意。
25.【答案】A。解析:采用特值法。假设原价为 1,涨价后为 1.2,降价后为 0.96
相比之前有所下降。
26.【答案】A。解析:每次四个人划过去,还要有一个人把船划回来,相当于每
次过 3 个人,则 30 个人需要 10 次。
27.【答案】A。解析:甲公司的人数为 100 以内所有奇数的和,即为 1357
9……99
乙公司是 100 以内能被 3 整除的数的和,
36912……99
则甲比乙多 2500-1683=817
人。
28.【答案】D。解析:特值法。设乙走的路程为 5,则甲走的路程为 6,再设甲所
用时间为 8,则乙所用时间为 9

29.【答案】C。解析:总分是 92.5×6=555.要想分数第三的同学得分最少,则其他
人要尽可能高,第一 99,第二就是 98,又知道第六名 76,所以剩余的三四五名之间
形成了逆向极值。三四五名的分数总和=555-99-98-76=282.逆向极值求平均,所以
282÷3=94.三四五名的分数就是 959493。所以选 C
30.【答案】A。解析:60000 人分为 25 队,每队 2400 人。每队 12 人一排,共 200
排。排间隔 1 米,则每队长 199 米(200 排只有 199 个间隔),队与队之间一共 24
间隔。所以游行队伍总长度就是 25×199+24×6 尾数为 9,所以选 A
31.【答案】B。解析:第一次混合后溶液为 120 克,溶质为 120×50%=60 克,第
二次混合后浓度为
32.【答案】A。解析:原式=-1×2012÷2+2013+2×2012÷4=-1006+2013+1006=2013
33.【答案】D。解析:三组的工作效率比为 421,假设 C 组工作效率为 1
A 组工作效率为 4B 组工作效率为 2A 组三天工作总量为 12,则 BC 合作需
12/(2+1)=4 天。
34.【答案】A。解析:设涨价了 10x,则少卖出了 100x 件。所以每天售出 1000-100x
件,由于成本不变,所以每件获利就是 40+10x 元。则总利润
=(1000-100x)(40+10x)=1000(10-x)(4+x).由均值不等式,解得当 x=3 时,利润最大,最
大利润是 49000,所以选 A
35.【答案】A。解析:要增加 10 个三角形,如下图所示,添加 2 条线即可。
36.【答案】A。解析:设当甲车第 n 次追上乙车时,两车的速度刚好相等。则有
从出发到甲车第一次追上乙车两车共行驶了 210÷
160-20×160+20=270 千米;第一次追上后到甲车第二次追上乙车两车共行驶
37.【答案】B。解析:将两种香同时点燃,当 8 分钟的香燃烧完后开始计时,15
分钟的燃完需再过 15-8=7 分钟,再燃烧完一只 15 分钟的香,正好是 7+15=22 分钟。
38.【答案】A。解析:页码都是一个奇数一个偶数变化的,且书摊开后,一定左
边是偶数页,右边是奇数页(第一页是从右边开始的),故想夹在两页中间,一定是
左边是偶数页,右边是奇数页,只有 A 满足条件。
39.【答案】D。解析:A 班有 15 人,B 班有 16 人,依次 K 班有 25 人,共有(15+25
×11÷2=220 人,L 班有 23 人,共 220+23=243 人,则 M 班还需加 13 人,故为 M13
40.【答案】D。解析:第一站有 14 人上车,最少要有 14 个座位;第二站有 13
个人上车,有一个人上车,至少要加 12 个座位;第三站有 12 人上车,两个人下车,
至少要加 10 个座位;第四、五、六、七站,分别要加 8642 个座位。第八站有
7 人上车,有 7 人下车,以后各站都是上车的人少,下车的人多。列算式得:14+13-1
+12-2+11-3+10-4+9-5+8-6=56。至少要有 56 个座位。故选 D
41.【答案】A。解析:第一组图形行数依次是 435,第二组图形列数依次是 4
35,选择 A 项。
42.【答案】B。解析:题干五个图形整体看,黑色方块依次顺时针移动 1 格、2
格、3 格、4 格、5 格得到后一个图形,故选 B
43.【答案】B。解析:每个图形都只有 1 个封闭区域。
44.【答案】B。解析:图形的封闭区域数个数依次是 87654、(3)。
45.【答案】B。解析:以白三角形为正面,则上面应该是白色圆,AD 错误。
三个黑色元素不两两相邻,C 错误。
46.【答案】C。解析:暂予监外执行的定义要点:①被判处有期徒刑、拘役或无
期徒刑的罪犯;②有严重疾病需要保外就医的;③怀孕或正在哺乳自己的婴儿的;④
生活不能自理,适用暂予监外执行不致危害社会的。A 项中 3~8 岁的未成年子女不符
合③;B 项属于自伤自残,不得保外就医,不符合②;C 项符合④,能够暂予监外执
行;D 项被判处死刑,不符合①。故本题选 C
47.【答案】B。解析:无卡支付定义的关键信息:不需要读取物理卡片。A 项支
付宝付款、C 项网银付款、D 项微信付款,均不涉及物理卡片,符合定义;B 项仍然
存在实体卡片,不属于无卡支付。故本题选 B
48.【答案】B。解析:渐进式退休的定义要点为:①到了法定退休年龄;②根据
工作需要灵活确定退休时间。A 项聘为终身教授不符合要点②;B 项符合定义;C
提前退休不符合要点①;D 项不符合定义。故答案选 B
49.【答案】D。解析:评论式营销的定义要点为:①借助对商品、服务的评论引
导客户消费倾向;②推动产品推广和销售。A 项公益讲座不是为了引导顾客消费;B
项购物网站建立对买家的信誉评价机制是为了筛选恶意差评顾客,并非引导客户消费
倾向;C 项没有体现①;D 项是借助专家对商品的评论引导客户消费倾向,“很抢手”
说明推动了产品推广和销售。故答案选 D
50.【答案】C。解析:覆盖竞争定义的关键信息为:行业外部的生产经营者强势
介入,业内竞争进一步加剧。A 项刚刚兴起说明竞争不激烈,不符合定义;B 项成立
几家分公司,不是从行业外部介入,不符合定义;C 项大型购物广场开业后,其他几
家大型商场受影响,竞争加剧,符合定义;D 项没有体现行业外部生产经营者的介入,
也不符合定义。故答案选 C
51.【答案】A。解析:A 项是题干的转述,能够由题干信息推出;B 项,有可能
所有数学家都能识别不正确证明的无效之处,B 项不一定为真;C 字过于绝对,
排除;D 项也不能根据题干信息准确推出。故答案选 A
52.【答案】C。解析:题干研究的结论为:食用发酵食品可以显著减少社会焦虑
症的发生。A 项和其他因素有关并不能排除食用发酵食品的作用,不能质疑;B 项属
于无关项;C 项以某国的数据指出泡菜消费量高的同时发病率也高,质疑了题干的结
论;D 项在一定程度上支持了题干结论。故答案选 C
53.【答案】D。解析:题干由“接种流感疫苗既不能保证不得流感,还可能导致
接种人群出现低烧等副作用”得出“没必要接种流感疫苗”的结论。A 项可以减少高
危人群因流感患并发症的风险、B 项减低感染病毒的概率、C 项极少数人会出现副作
用的反应,均能说明接种流感疫苗的必要性。D 项强调的是患病的人在恢复过程中可
以获得免疫力,无法说明接种流感疫苗的是否有必要。故答案选 D
54.【答案】A。解析:投资公司评价的逻辑是:挑选项目主要看 A 条件(技术门
槛和未来市场需求量),而不是 B 条件(当前的业务增长率),有些 B 条件(当前的
业务增长率)很好的项目,长远来看并不好。A 项,婚姻生活取决于 A 条件(双方的
和谐程度),而不是 B 条件(家庭收入),有些 B 条件(家庭收入)好的夫妻,生活
并不幸福。其他三项显然都不相似。故答案选 A
55.【答案】D。解析:因为神经刺激技术能使滑雪运动员的跳跃能力和协调性分
别都有提高,所以体育部门计划推广使用这一技术。D 项说明了这项技术会降低运动
员的专注力,而专注力是能力发挥的前提,则有可能实施了这个技术后,即使能力提
高了也没办法发挥,达不到预想的结果,有力地质疑了体育部门的计划。故答案选 D
56.【答案】C。解析:由文字的第一段可知,2015 9 月份,规模以上工业增加
值同比实际增长 5.7%(以下增加值增速均为扣除价格因素的实际增长率),比 8 月份
回落 0.4 个百分点。则所求为 5.7%+0.4%=6.1%
57.【答案】D。解析:由第一个图可知,2015 58 月,规模以上工业增加值
同比实际增长速度最快的是 6 月,6.8%
58.【答案】B。解析:由文字部分第二段可知,9 月份,纺织业增长 6.5%,专用
设备制造业 3.8%,电气机械和器材制造业增长 7.9%,黑色金属冶炼和压延加工业增
6.1%,由此看出,选择 B
59.【答案】A。解析:由文字部分的第三段可知,2015 9 月,钢材 9469 万吨,
同比下降 0.6%,原油加工量 4243 万吨,增长 0.5%。则所求为
9469×(1+0.6%-4243×(1-0.5%)≈9469+95×0.6-4243+42×0.5=5304 万吨,选择
A
60.【答案】B。解析:由图 2 和图 3 可知,汽车日均产量同比增长速度最慢的月
份是 7 月,同比增速为-11.2%,日均产量是 5 万量,轿车日均产量同比增长速度最慢
的月份是 7 月,同比增速为-26.3%,日均产量是 2.3 万辆,所求为 5-2.3=2.7 万辆,选
B
61.【答案】D。解析:由文字第一段可知,2015 18 月份,住宅投资占房地
产开发投资的比重为
62.【答案】A。解析:根据文字第二段可知,2015 18 月份,东部地区、中
部地区、西部地区房地产开发投资的比例为 347541271713591,对比选项来看,
中部地区、西部地区比例接近于 11,可知选择 A
63.【答案】B。解析:2014 18 月份,房地产开发企业土地购置面积约为
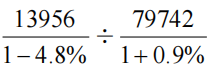
64.【答案】C。解析:根据文字最后一段可知,房地产开发企业到位资金 79742
亿元,同比增长 0.9%,国内贷款 13956 亿元,下降 4.8%,所求为
65.【答案】C。解析:A 项,由 8 月末,商品房待售面积 66324 万平方米,比 7
月末增加 65 万平方米,可知 A 正确。
B 项,由文字第三段可知,房屋新开工面积 95182 万平方米。其中,住宅新开工
面积 65830 万平方米,
C 项,根据文字第六段可知,商业营业用房销售额下降 2.5%,所以 C 错误。直接
选择 C
验证 D 项:18 月份,东部地区商品房销售面积同比增长 10.1%,中部地区增长
4.2%,西部地区增长 5.2%,所以 D 正确。
66.【答案】D。解析:20112014 年,我国货物进出口总额为 113161+123241+
114801+ 129359+121038+137131+120423+143912,观察选项末一位均不同,尾数为 6
选择 D
67.【答案】A。解析:贸易平衡则进口额和出口额比较接近,2011 年的贸易顺差
123241-113161=10XXX2012 年的贸易顺差为 129359-114801=14XXX2013 年贸
易顺差为 137131-121038=16XXX2014 年的贸易顺差显然比前三年大,可以忽略不
看,选择 A
68.【答案】B。解析:由图可知,2014 年我国货物进出口总额为
120423+143912=2643352011 年我国货物进出口总额为 113161+123241=236402,所
求为
69.【答案】D。解析:①错误,由图可知,我国货物的出口额均呈现上升的趋势。
②错误,2014 年的进口额比 2013 年的进口额的数值低,所以错误。③正确,运用反
算法,每年的值加上 6000 均小于下一年的值,所以正确。④正确,由上面的题可知,
每年的贸易顺差是逐年上升的。选择 D
70.【答案】D。解析:A 项,由文字的第一句可知,A 项正确。
B 项,由文字部分可知,2014 年货物进出口总额占世界贸易总额的比重为 11.3%
2010 年提高 1.7 个百分点,所求为 9.6%,所以 B 项正确。
C 项,2014 年的货物进出口总额值为 120423+143912=264335,则 2016 年的货物
进口总额为 264335×(1+7%2 =264335×(1+0.14+0.072)<26500×1.15=30475 亿
元,所以 C 正确。直接选择 D
验证:D 项,2014 年,我国货物进出口总额约比 2010 年增长
元,所以 C 正确。直接选择 D
验证:D 项,2014 年,我国货物进出口总额约比 2010 年增长
万亿元。D 错误。
第二部分 综合知识
一、单选
1.【答案】C。解析:名义收益率是票面利率,实际收益率是剔除通货膨胀因素后
的收益率。近似的公式实际收益率=名义收益率-通货膨胀率。要求预期实际收益率,
则应该用预期名义收益率减去预期通货膨胀率,而与债券票面利率无关。故此预期实
际收益率为 8%-2%=6%
2.【答案】A。解析:利率取决于货币供给与需求,央行只能调整货币供给,不能
调整货币需求,所以只能调整供给以影响利率的变化。
3.【答案】B。解析:钱荒时,我国政府采用逆回购的方式扩大市场上的货币供应
量,增加市场流动性。
4.【答案】D。解析:债券体现债权债务关系,股票体现所有权关系。
5.【答案】B。解析:公司型基金是具有共同投资目标的投资者依据公司法组成以
盈利为目的、投资于特定对象(如有价证券,货币)的股份制投资公司。这种基金通
过发行股份的方式筹集资金,是具有法人资格的经济实体。基金持有人既是基金投资
者又是公司股东。公司型基金成立后,通常委托特定的基金管理人或者投资顾问运用
基金资产进行投资。契约型基金是基于一定的信托契约而成立的基金,一般由基金管
理公司(委托人)、基金保管机构(受托人)和投资者(受益人)三方通过信托投资
契约而建立。契约型基金筹集资金的方式一般是发行基金受益券或者基金单位,这是
一种有价证券,表明投资人对基金资产的所有权,凭其所有权参与投资权益分配。
公司型基金与契约型基金的主要区别有以下几点:(1)法律依据不同;(2)基
金财产的法人资格不同;(3)发行的凭证不同;(4)投资者的地位不同;(5)基金
资产运用依据不同;(6)融资渠道不同;(7)基金运营方式不同。
6.【答案】B。解析:市盈率=股票价格/每股税后盈利=20/1=20
7.【答案】D。解析:表外业务是中间业务的一部分,不能反映所有中间业务的特
点。确切地说,除信用证、承兑等业务存在一定交叉以外,表外业务主要包括承诺类
表外业务(如贷款承诺、循环保证融资等)、担保类表外业务(如担保信用证或备用
信用证、履约担保、投标担保、还款担保等)和与市场价格有关的表外业务(如金融
期货、金融期权、利率互换、货币互换等)。而中间业务还包括结算、信托、租赁、
银行卡、代客买卖、代收代付、代客理财、代客保管和信息咨询等业务。
8.【答案】A。解析:交易性货币需求和收入成正比,投机性货币需求和利率成反
比。
9.【答案】A。解析:属于市场准入里面的关于高级管理人员的要求。
10.【答案】D。解析:一般情况下,对法人账户透支业务申请人的还款能力及担
保要求要高于普通流动资金贷款,故 D 选项的说法错误。
11.【答案】C。解析:同业拆借业务主要通过全国银行间同业拆借市场进行。
12.【答案】B。解析:我国开放式基金的销售渠道主要包括:基金公司直销、银
行及证券公司等机构代销以及新起步的专业销售经纪公司代销三个渠道。
13.【答案】C。解析:规范的现场检查包括检查准备、检查实施、检查报告、检
查处理、检查档案整理五个阶段。
14.【答案】B。解析:我国规定计入附属资本的长期次级债务不得超过核心资本
50%
15.【答案】D。解析:中央银行的基准利率有再贴现率、再贷款率、法定存款准
备金率、超额存款准备金。
16.【答案】A。解析:供给定理是指在其他条件不变的情况下,供给量与价格之
间呈同向变动。而劳动力的供给是在工资率较低的情况下,劳动的供给与工资率呈同
向变动,但是在工资率高到一定程度时,则供给曲线向右下方倾斜,劳动的供给与工
资率反方向变动。
17.【答案】D。解析:总平均成本的最小值点之所以在平均可变成本的最小值点
之后是因为平均固定成本一直递减。
18.【答案】D。解析:完全竞争厂商拥有利润时,会吸引新厂商的进入,在长期
将得不到利润。
19.【答案】B。解析:投资的下降导致国民收入的下降,根据凯恩斯的绝对收入
假说可知,消费和储蓄都会下降。
20.【答案】B。解析:政府支出乘数和投资乘数都等于 1/1-β),所以对国民收
入都有同样大的乘数作用。
21.【答案】C。解析:IS 曲线和 LM 曲线的交点表示产品市场和货币市场同时达
到均衡,此时经济可能充分就业也可能没有实现充分就业。
22.【答案】B。解析:减少税收增加国防开支是扩张性的财政政策,最终会导致
总需求增加,国民收入增加。
23.【答案】C。解析:紧缩性的货币政策会使利率上升,有价证券价格下降,从
而股票价格指数下降。
24.【答案】A。解析:央行提高再贴现率,属于紧缩性的货币政策,引起 LM
线右移;政府减少税收,属于扩张性的财政政策,引起 IS 曲线右移。此时均衡收入水
平变化不确定,但是利率一定上升,可以画图为证。
25.【答案】C。解析:货币政策通过影响利率来影响消费和投资,财政政策通过
变动政府支出和税收来影响总需求。
26.【答案】B。解析:甲公司应确认的股本科目的金额=200×1=200(万元)。
27.【答案】B。解析:财务报告的编制要求包括真实可靠.全面完整.编报及时.便
于理解。
28.【答案】B。解析:本题考核资产负债表项目的填列。预收款项项目根据
收账款应收账款科目所属各明细科目的期末贷方余额合计数填列。因此,应收
账款科目所属明细科目如有贷方余额,应在资产负债表的预收款项项目中反映。
29.【答案】B。解析:原始凭证不可以外借,根据《会计档案管理办法》第七条
规定:各单位的会计档案不得借出。如有特殊需要,经本单位负责人批准,可以提供
查阅或者复制,并办理登记手续。
30.【答案】D。解析:财务会计报告包括财务报表和其他应当在财务会计报告中
披露的相关信息和资料。财务报表至少应当包括资产负债表、利润表、现金流量表、
所有者权益变动表以及附注,即 “四表一注”。
31.【答案】C。解析:资源访问控制用来解决用户访问资源的权限管理问题。
32.【答案】D。解析:生物特征认证是指通过自动化技术利用人体固有的生理特
征和(或)行为特征进行身份鉴定。目前利用生理特征进行生物识别的主要方法有:
指纹识别、虹膜识别、手掌识别、视网膜识别和脸相识别;利用行为特征进行识别的
主要方法有:声音识别、笔迹识别和击键识别等。
33.【答案】D。解析:衡量图像的显示清晰程度用分辨率。
34.【答案】A。解析:中继器是放大器,能使信号放大,可以延长线缆的传回距
离。它工作在物理层。
35.【答案】B。解析:可行性分析和项目开发计划是回答“要解决的问题是什么”。
36.【答案】A。解析:我国刑法分则规定判处管制、拘役、有期徒刑、无期徒刑
的犯罪分子,在刑法执行一段时间后,如犯罪分子能够认真遵守监规,确有悔改表现
的,可以减刑;对判处有期的犯罪分子,执行原判二分之一以上、无期的犯罪分子实
际执行十三年以上,如能认真遵守监规,确有悔改表现的可以假释。但是对于累犯以
及故意杀人、强奸、抢劫、绑架等暴力性犯罪被判处十年以上有期、无期徒刑的犯罪
分子不得假释。张某有悔改表现,可以减刑,因绑架罪被判处有期徒刑 12 年,属于暴
力犯罪,且刑期超过 10 年,不得假释。本题答案选 A
37.【答案】A。解析:《民法总则》第 2 条规定:民法调整平等主体的自然人、
法人和非法人组织之间的人身关系和财产关系。民事关系是一种社会生活关系,但并
非所有的社会生活关系都是民法调整的对象,只有民法所规定的才受民法所调整,其
他的社会生活关系受道德、习惯等的调整。《著作权法》第二条:“中国公民、法人
或者其他组织的作品,不论是否发表,依照本法享有著作权。”A 项中甲根据《著作
权法》拥有该诗歌的著作权,成立民事法律关系;B 项中甲乙的行为属于婚恋行为,
法律一般不进行调整;CD 两项都没有具体的意思表示,没有追求民事法律效果,不
构成民事法律关系;故本题正确答案为 A
38.【答案】A。解析:据我国《劳动法》第四十五条规定:国家实行带薪年休假
制度。劳动者连续工作一年以上的,享受带薪年休假。故本题答案选 A
39.【答案】B。解析:有了客观的“机遇”,也需要主观“迎接挑战”,主客观
统一。故本题答案为 B
40.【答案】D。解析:马克思主义认识论认为,经济基础决定上层建筑。社会主
义初级阶段经济发展的不平衡决定了道德领域多种境界层次和多种觉悟并存的现实。
故本题答案选 D
41.【答案】A。解析:2017 5 27 日,国家测绘地理信息局在新闻发布会上
宣布,全国卫星导航定位基准服务系统正式启用。该系统是目前我国规模最大、覆盖
范围最广的卫星导航定位服务系统,能够兼容北斗、GPS、格洛纳斯、伽利略等卫星
导航系统信号,可以向公众提供实时亚米级的导航定位服务,并向专业用户提供厘米
级乃至毫米级的定位服务。故本题答案选 A
42.【答案】C。解析:火星因为表土中富含红色的高浓度氧化铁而被称为红色行
星。故本题答案选 C
43.【答案】A。解析:我国农林牧用地人均占有量为世界人均占有数的 15。故
本题答案为 A
44.【答案】A。解析:中国著名的小站稻主产于天津市,它是在袁世凯小站练兵
时引进的品种,在小站地区试种成功,后来经天津南郊的高庄子李氏大地主改良后成
为今天的小站稻。A 表述错误;水稻原产亚洲热带,在中国广为栽种后,逐渐传播到
世界各地。按照不同的方法,水稻可以分为籼稻和粳稻、早稻和中晚稻、糯稻和非糯
稻。我国科学家袁隆平对杂交水稻的研究作出了巨大贡献,被誉为杂交水稻之父
BC 正确;白露白迷迷,秋分稻秀齐,寒露无青稻,霜降一齐倒。这是我国江南地区
描述水稻成熟期与节气关系的俚语。白露时节水稻正值扬花期(开白色小花)望上去
白茫茫一片,到秋分时水稻已灌浆结实(秀齐),寒露时节水稻基本成熟,颗粒由青
变黄。一到霜降,所有的稻都要被割下来了。D 正确。故本题答案选 A
45.【答案】C。解析:1971 10 25 日,第 26 届联合国大会恢复了中华人民
共和国在联合国的合法权利恢复了中国安理会常任理事国的席位。故本题答案为 C
46.【答案】B。解析:我们唱着东方红,当家做主站起来……”也就说明我们成
了国家的主人,不在受到压迫,这一典型的标志就是在开国大典上,毛泽东的庄严宣
告。故本题答案为 B
47.【答案】A。解析:日本 1937 年七七事变之后想三个月灭亡中国,但淞沪会战
就打了三个月,标志了速战速决的破产,日方改变策略,减少对国民党正面战场的进
攻,逐渐将其主要兵力用于打击在敌后战场的八路军和新四军,而对国民党政府则采
取以政治诱降为主的方针。故本题答案为 A
48.【答案】A。解析:PM 是英文 Particulate Matter(颗粒物)的首字母缩写。准
确的 PM2.5 定义要在直径之前加一个修饰语空气动力学,这是因为空气中的颗粒
物并非是规则的球形,在实际定义及测量其直径的操作中,如果颗粒物在通过检测仪
器时所表现出的空气动力学特征与直径小于或等于 2.5 微米且密度为 1 /立方厘米的
球形颗粒一致,那就称其为 PM2.5。这样的定义也就决定了在测定 PM2.5 时,需要利
用空气动力学原理把 PM2.5 与更大的颗粒物分开,而不是用孔径为 2.5 微米的滤膜来
分离。故本题答案选 A
49.【答案】D。解析:航天飞机运行的轨道已经在大气层的边缘,在宇航员舱外
作业的时间内,空气阻力的影响是可以忽略不计的。且因为宇航员和航天飞机在同一
个惯性参考系下,有同样的初速度、加速度和运动状态,因此,两者间将保持相对静
止。故本题答案选 D
50.【答案】A。解析:微波加热的原理简单说来是:当微波辐射到食品上时,食
品中总是含有一定量的水分,而水是由极性分子(分子的正负电荷中心,即使在外电
场不存在时也是不重合的)组成的,这种极性分子的取向将随微波场而变动。由于食
品中水的极性分子的这种运动。以及相邻分子间的相互作用,产生了类似摩擦的现象,
使水温升高,因此,食品的温度也就上升了。用微波加热的食品,因其内部也同时被
加热,整个物体受热均匀,升温速度也快。故本题答案为 A
二、多选
51.【答案】ABCD。解析:中国银行业不包括投资银行。
52.【答案】ACD。解析:B 是工商银行的职责,E 是商业银行等的职责。
53.【答案】ABCD。解析:常见的清算模式有实时全额清算、净额批量清算、大
额资金转账系统及小额定时清算四种摸式。
54.【答案】ABDE。解析:电子银行渠道主要包括:网上银行(利用计算机和互
联网)、电话银行(利用电话等声讯设备和电信网络)、手机银行(利用移动电话和
移动通信网络)、自助终端(多媒体自动终端、ATM 自动柜员机等)。
55.【答案】AC。解析:我国银行的担保类业务分为银行保函业务和备用信用证
业务。
56.【答案】ABCD。解析:生产要素主要包括土地、资本、劳动与企业家才能。
57.【答案】ABD。解析:i=e-dr 表明,投资是利率的减函数,利率上升则投资减
少。利率越低,有价证券价格越高,人们会抓住时机卖出证券,导致出于投机需求的
货币需求量会增加。因此,货币投机需求与利率变动为反向关系。
58.【答案】ABCD。解析:转移性支出指政府无偿向居民和企业、事业以及其他
单位供给财政资金。
59.【答案】ABC。解析:充分就业指消除了摩擦性失业、自愿失业和结构性失业
的状态。
60.【答案】AD。解析:均衡价格:某种商品的需求和供给这两种相反力量达到
平衡,即供给量等于需求量时,从而不再变动时的价格。均衡价格具有稳定性。
61.【答案】ABCD。解析:(1)选项 AB:属于银行结算账户的实名制管理;(2
选项 C:属于银行结算账户变更事项的管理;(3)选项 D:属于银行结算账户的对账
管理。
62.【答案】ACD。解析:短期借款属于企业的流动负债。
63.【答案】AC。解析:本题 AC 项很明显是正确的。甲拾得乙的相册并挂回自
己室内,侵犯财产权;将照片合成并制成“爱的宣言”画册,足以使人产生误会,侵
犯名誉权。《民法通则》第一百条:公民享有肖像权,未经本人同意,不得以营利为
目的使用公民的肖像,B 错误。隐私权是为众多法律系统所支持的一种人身基本权利。
指自然人享有的私人生活安宁与私人信息秘密依法受到保护,不被他人非法侵扰、知
悉、收集、利用和公开的一种人格权,而且权利主体对他人在何种程度上可以介入自
己的私生活,对自己是否向他人公开隐私以及公开的范围和程度等具有决定权。我们
不能认定一个人的照片属于她的隐私权,D 错误。故本题应选 AC
64.【答案】BCD。解析:二十四节气是根据太阳在黄道(即地球绕太阳公转的轨
道)上的位置来划分的,因此 A 项说法错误。在古代,一年分为十二个月纪,每个月
纪有两个节气。在前的为节气,在后的为中气,如立春为正月节,雨水为正月中,后
人就把节气和中气统称为节气,故 D 项说法正确。二十四节气的名称为:立春、雨水、
惊蛰、春分、清明、谷雨、立夏、小满、芒种、夏至、小暑、大暑、立秋、处暑、白
露、秋分、寒露、霜降、立冬、小雪、大雪、冬至、小寒、大寒。据此和节气的划分
可知 BC 项正确。故本题答案选 BCD
65.【答案】ABCD。解析:随着纳米科技的快速发展,各国对纳米安全性问题的
重视不断加强,目前面临的难题是:纳米物质对人体的危害有多大,可以通过何种途
径进入人体?纳米颗粒污染在大气污染中占多大比重,是如何产生的,以何种形式存
在?如何检测,如何治理等。故本题答案为 ABCD
66.【答案】BCD。解析:在火箭的头部涂了一层特殊物质,材料受热溶化、汽化
时吸收了火箭因高速运动时与空气作用产生高温放出的热量,所以能避免火箭因温度
过高而被损坏。故本题答案为 BCD
67.【答案】AC。解析:1904 年英法缔结协约,接着,英国与俄国也在 1907 年缔
结协约,英俄协约与英法协约和法俄同盟一起,构成了三国协约。故本题答案为 AC
68.【答案】BCD。解析:约 5000 年前,古埃及人发明了象形文字。A 项说法错
误。古巴比伦时代的科学以数学和天文最为发达,计数法采用十进位和六十进位法。
B 项说法正确。古巴比伦发明了文字即楔形文字,使两河流域进入有文字记载的历史
时期,还发明了适合书写的工具——“泥板书”。C 项说法正确。公元前 18 世纪,古
巴比伦王朝汉谟拉比统治时期(公元前 1792 年—前 1750 年)编纂了一部法典,史称
《汉谟拉比法典》。D 项说法正确。故本题答案为 BCD
69.【答案】AC。解析:形而上学就是用孤立、静止、片面的观点观察事物的思
维方式。“只见树木,不见森林”和“一叶障目,不见泰山”都是用片面的观点看问
题,看问题不全面,所以是形而上学的观点。“城门失火,殃及池鱼”是唯物辩证法
联系的观点,故 B 错误。“出门问路,入乡随俗”是说明主观要符合客观,一切从实
际出发。故本题答案选 AC
70.【答案】BCD。解析:社会主义市场经济体制是市场在国家宏观调控下对资源
配置起决定性作用的一种经济体制,它是社会主义基本制度与市场经济的结合,既具
有与其他市场经济体制的共性,又具有与其他市场经济体制不同的特征。社会主义市
场经济体制具有市场经济体制的共性,表现在:一是经济活动市场化,二是企业经营
自主化,三是政府调节间接化,四是经济运行法制化。中国特色社会主义是社会主义
市场经济、社会主义民主政治和社会主义先进文化协调发展的伟大事业,市场经济不
是单纯物质的进步,而是物质、文化共同进步的结果。建立社会主义市场经济体制,
是我国经济振兴和社会进步的必由之路,也是一场创造性的实践活动,需要开发人们
的潜在智慧,发挥人们的创造精神,升华人们的思想境界,提高人们的道德水平。所
有这一切,都是文化建设的任务,离开了文化建设,社会主义市场经济也就失去了灵
魂。所以说,社会主义市场经济的发展,离不开社会主义的先进文化。故本题答案为
BCD
第三部分 英语
一、单项选择
1.【答案】D。解析:考查代词 anyone 和复合关系词 whoever 的区别。虽然两者
都有“任何人”的意思,但空格后面有动词 attended,所以后面是一个从句,能够引
导从句的只有 DBC 选项不符合语境。
2.【答案】D。解析:考查词性辨析。句意:本月晚些时候理事会一定开会就修订
版方案进行投票。空格处是用来修饰动词 vote 的,副词可以用来修饰动词,definitely
(明确地,肯定地)符合句意。故选 Ddefine. v. 定义,使明确;definite. adj. 明确
的,肯定的;definitive adj. 限定的,最后的。
3.【答案】B。解析:考查名词词义辨析。句意:一些人喜欢周日去购物,因为他
们希望在市场上能够找到物美价廉的商品。battery 电池;bargain 特价商品;basket
子;barrel 桶。故答案选 B
4.【答案】B。解析:考查动词词义辨析。句意:Corvatech 公司的总裁宣布,今
年的年报已经准备好分发给公司的股东了。publish 出版,发表;distribute 分配,散布,
分发;transact 办理,处理;dispose 处理,布置。综合分析,B. distribute 符合句意。
5.【答案】B。解析:考查形容词词义辨析。句意:坐着听很长的讲座会让听众感
到焦躁不安,所以演讲者应该把演讲时间控制在 30 分钟内。remarkable“卓越的,非
凡的”;restless“焦躁不安的”;concise“简明的”;excessive“过多的,极度的”。
根据常识,观众听了很长时间的讲座肯定会感到烦躁,故 B 选项符合语境。
6.【答案】B。解析:考查介词短语辨析。句意:当心理学家在做有关人类心智的
一般实验时,他会随机选择人群并问问题。at length 最终;at random 任意地;in essence
本质上;in bulk 大量的,散装的。根据句意可知,只有 B 项符合句意,故答案选 B
7.【答案】A。解析:考查修饰比较级的副词。句子要表示“快得多”的意思,可
以修饰比较级 faster 的只有 A. a lot,故选 A
8.【答案】A。解析:考查副词词义辨析。句意:Maria 故意错过第一班火车就是
为了和 John 乘坐同一班车。deliberately=on purpose, intentionally 故意地,存心地;
intensively 强烈地,集中地;decisively 果断地;objectively 客观地。据以上分析可知
答案选 A
9.【答案】C。解析:考查主谓一致和动词时态。本句真正的主语是 everyone,故
谓语动词用单数;因为事故是过去发生的,故应该用一般过去时,因此答案为 C
10.【答案】B。解析:考查动词词义辨析。句意:你应该收敛一下你的野心,实
际一点。reserve 预留,预订;restrain 抑制;retain 保持;replace 代替。根据 and be more
realistic 可知是劝对方收敛野心,所以用 B. restrain 最合适。
11.【答案】A。解析:考查定语从句和介词。句意:在印度,有一百多种语言,
其中只有十四种被认为是官方语言。空格后的 which 指的是前面的 one hundred
languages,一百种语言中的十四种,应该用介词 of,可以还原为 fourteen of more than
one hundred languages,故答案为 A
12.【答案】D。解析:考查形容词词义辨析。句意:在销售和人力资源部,当授
予哈曼先生奖项的时候,经理都引用了他的典范表现。divergent 相异的,分歧的;
customary 习惯的,通常的;resultant 结果的,合成的;exemplary 典范的,典型的。
在四个选项中只有 D 最符合题意。故选 D
13.【答案】A。解析:考查动词短语辨析。句意:大量的基础科学公共投资会给
国家的健康、财富和安全带来很大好处。lead to 导致,引出,引起(前面是原因,后
面是结果);result from 归因于(前面是结果,后面是原因);lie in 归因于(前面是
结果,后面是原因);settle down 定居。故答案选 A
14.【答案】D。解析:考查名词词义辨析。句意:研究结果为顾客的购物习惯、
动机和喜好描绘了一幅生动的图像。A. possessions 财产;B. possibilities 可能性;C.
privileges 特权;D. preferences 喜爱,偏好。根据语境,答案选 D
15.【答案】C。解析:考查非谓语动词。本题要填入的是分词做状语。分词做状
语的关键是看动词与句子主语的关系,如果构成主动关系,使用现在分词,如果构成
被动关系,使用过去分词。本题的 found Harvard 构成被动关系,使用过去分词,
C 正确。
16.【答案】B。解析:考查虚拟语气。这是个错综时间虚拟条件句:主句与现在
事实相反,条件句与过去事实相反。句意为“如果我不是在七岁时就迷上了 Melinda Cox
图书馆,我真不能想象我如今会在做什么”。与过去事实相反用过去完成时,故选 B
17.【答案】C。解析:考查固定搭配。句意:他刚才说的话和正在讨论的问题关
系不大。under discussion 在讨论中,固定短语。故答案选 C
18.【答案】B。解析:考查时态和插入语分析。句意:从长远来看,中国大批手
机应用的新开发商将使得苹果手机对中国消费者更有吸引力。in the long run“从长远
来看”是插入语,表将来,所以用将来时态,故选 B
19.【答案】A。解析:考查词性辨析。句意:宾馆周围安静的山间风光为住在拥
挤城市的旅客提供了一个耳目一新的改变。空格处的单词修饰的是 change“改变”这
个名词,所以应该用形容词。refreshing“使精力恢复的,使人清爽的”,多修饰物;
refreshed“清爽的,精神振作的”,多修饰人,因为此处修饰的是 change“改变”,
所以选 A
20.【答案】C。解析:考查名词辨析。句意:教师要不断地更新他们的知识以便
保持专业能力。consequence 后果,结果;independence 独立;competence 能力,胜任,
称职;intelligence 智力,智慧,理解力。根据句意选 C
二、阅读理解
Passage 1
21.【答案】A。解析:细节题。根据第二段第四行 as property values may fall, and in
general, the risk capital that you have is likely to give a much greater.. .可知,房地产有可
能不值钱,故答案为 A
22.【答案】C。解析:细节题。根据原文最后一段可知,银行对向其贷款的企业,
尤其是创业阶段的企业尤为谨慎,只会提前给实际购楼价格 70%的资金,剩下的需要
再到其他处借,故答案为 C
Passage 2
23.【答案】D。解析:细节题。根据题干“deal with reception of communication first ”
定位到原文第二段第一句“The means of sending communications are too numerous and
varied for systematic classification; therefore, the analysis must begin with the means of
receiving communication.”therefore 前边的内容就是原因,与选项 D 相一致。
24.【答案】A。解析:细节题。根据题干“视觉交流通常和听觉交流用在一起”
定位到原文第三段前两句话“Example of visual communication are gesture and mimicry
(模仿). Although both frequently accompany speech”speech auditory communication
同义转换,所以四个选项中只有 gesture 符合。根据第三段“Feelings may be simply
communicated by touch, such as by handshaking or backslapping (拍背)...”可知 BCD
可以单独完成。
25.【答案】A。解析:细节题。根据第三段“The means of communication mentioned
so far have two features in common: they last only a short time, and the person involved
must be relatively close to each other. Therefore, all are restricted in time and space”可知,
A 选项表达正好相反。B 与第一段第一句话一致,C 与第一段第二句话一致,D
第二段第二句话一致。
Passage 3
26.【答案】D。解析:主旨题。本篇主要讨论不同的领导者(如 instrumental leaders
以及 expressive leaders)在不同的社会群体中所充当的角色和发挥的功能。所以 D
正确答案。ABC 选项都不能正确概括本文主旨。
27.【答案】C。解析:细节题。A 选项的招募(recruitment)B 选项选举程序(election
process) 都在第一段中 (In larger groups, leaders are usually chosen formally through
election or recruitment.)作为大群体的领导者产生的方式被明确提到。D 选项也在第一
段 中(In the family, traditional cultural patterns confer leadership on one or both of the
parents.)作为家庭领导者的产生方式被明确提到。只有 C 选项没有作为产生领导者的
一种方式在本文中被提及。
28.【答案】A。解析:推断题。A 选项意思是:某一特定群体的有效领导者,不
一定就可以成为另一群体的有效领导者。这正好与第二段的意思相吻合,即领导者没
有一个固定的特点,只是符合了一个特定群体需要的人就有可能成为该群体的领导者
(It seems...virtually any person may be recognized as a leader if the person has qualities that
meet the needs of that particular group)B 选项和 C 选项的意思与本文无关;D 选项意
为:许多人想成为领导者,但却很少能拿出证据来证明他们具有这样的资格。显然是
对文章意思的曲解。
29.【答案】B。解析:细节题。第二段中... decades of research have failed to produce
consistent evidence that there is any category of “natural leaders”. 意思是说:数十年来的
研究并不能找出可靠证据来证明哪些人可以成为‘天生领导者’,与 B 项意思一致。
30.【答案】D。解析:细节题。第三、四段主要讲了两种类型的领导者的区别。
其中 instrumental leader 侧重于群体目标的实现,而 expressive leader 相对于前者并不
侧重于群体目标的实现,而是注重为群体成员提供情感支持,并尽力减少内部纷争。
Instrumental leadership is leadership that emphasizes the completion of tasks by a social
group. Instrumental leaders are likely to have a rather secondary relationship to other group
members. Expressive leaders are less concerned with the overall goals of the group than
with providing emotional support to group members and attempting to minimize tension
and conflict among them.
Passage 4
31.【答案】C。解析:细节题。根据原文 Sun exposure is a major factor for melanoma
skin cancer, the fifth common cancer in the UK, with more than 14,000 people diagnosed
each year. 可知 A 选项中的 only factor 与原文的 major factor 矛盾,故不选;而同样根
据本句中 with more than 14,000 people diagnosed each year 可知 C 选项正确;同时根据
原 文 A recent research suggests sunscreen alone should not be relied on to prevent
malignant melanoma, a deadly form of skin cancer. 可知 B 项的will not kill people 不正确,
以及 D 项中的 adequate protection 不正确。故答案选 C
32.【答案】A。解析:词义猜测题。根据原文 A recent research suggests sunscreen
alone should not be relied on to prevent malignant melanoma, a deadly form of skin cancer.
该句话中 malignant melanoma 后加了一个同位语,用来补充说明,由同位语中的 deadly
可知,该题应该选择 A fatal,意思为“致命的;重大的”。harmful 有害的;wild
野生的;benign 良性的;亲切的。
33.【答案】C。解析:推断题。根据原文 UV light target the very genes protecting us
from its own damaging effects, showing how dangerous this cancer-causing agent is. 可知
紫外线对人体皮肤的伤害作用是很强的,故 B 项不正确;根据原文 This work highlights
the importance of combining sunscreen with other strategies to protect our skin, including
wearing hats and loose fitting clothing, and seeking shade when the sun is at its strongest.
可知应结合不同的保护方法来防止自己的皮肤免受太阳紫外线的伤害,C 项正确。根
据最后一句... highlights the importance of combining sunscreen with other strategies to
protect our skin... 可知 A 项不对;D 项在文中没有表述。故 C 项为正确答案。
Passage 5
34.【答案】D。解析:推断题。在文章一开始,作者就提到一个婴儿手持手机的
卡通形象,引出“在芬兰手机使用广泛,孩子们很小就拥有手机”这一事实。故答案
D
35.【答案】C。解析:主旨题。通篇文章叙述的是手机对孩子的影响。C 是正确
的。A 选项文中未提及;B 选项不是文章描写的重点;D 只是文章第二段的主要内容,
属细节。故答案为 C
Passage 6
36.【答案】D。解析:推断题。本文题目问的是按照经济学家的说法,美联储很
有可能会采取下面哪个行动。根据 Fed take action 我们可以定位到文章中第一、二
段,题干中的 will 也是一个信息词,文章中提到了 will take its first step toward unwinding
the easy money policies, 后面又有 will dial back,再加上第四段最后一句话还提到经济
学家们预测 the Fed will raise that rate in 2015. 因此可以判断最有可能会撤回一部分的
资金和提高利息。
37.【答案】B。解析:细节题。题目问到美联储购买债券最初的目的。根据 bond
purchase 我们可以回文定位到 The purchases were aimed at holding down long-term
interest rates, thus increasing borrowing and investing in order to create jobs and lower
unemployment. 我们可以推断这是一个同义转换,aim at 就相当于 purpose,因此总结
出来最初的目的是降低长期存款利率,最终减少失业率。
38.【答案】A。解析:细节题。美联储主席伯南克宣布政策的直接影响是什么?
根据人名我们回文定位到第六段His remarks roiled stocks and pushed up bond yields.
明他的话语直接影响到了股票市场的波动。roil 就相当于选项中的 stir
39.【答案】D。解析:推断题。题目要求我们从文章中推断出政府关于降低失业
率的政策的影响。这是一个推理题,从第六段伯南克提到失业率减低了,到第七段 The
jobless rate fell because of a sharp drop in the number of people working or looking for
work. 可以看出失业率的降低并不完全是因为政府的政策,因此可以推断出效果没有
那么完美。
40.【答案】C。解析:主旨题。我们可以看到文章中很多的词汇都表明此时收紧
货币政策应该 put off tapering until the economy is on firmer footing. 而经济学家都建议
prompt a more modest reduction in bond purchases than the Fed initially intended. 说明这
个重大政策的推行应该还不是最佳时期,需要循序渐进。C 答案本义是五月前莫收冬
衣,勿操之过急。

上一篇

这里有最新的公司动态,这里有最新的网站设计、移动端设计、网页相关内容与你分享

下一篇